整式の割り算
今回は整式の割り算に関する問題です。
ここでは、割り算をする対象が数字ではなく「整式」です。数字に比べると少しだけ複雑ですが少しずつ慣れていきましょう!
整式とは
整数:\(-2\), \(0\), \(1\) などの数字のこと
単項式:数や文字についての乗法だけで作られている式のこと
例)\(2a\), \(-3xy^2\) など
多項式:単項式の和の形で表された式のこと
例)\(2a+3b\), \(3x-4y^2\) など
単項式の割り算であれば暗算でも解けるかもしれませんが、多項式になるとそうはいきません。多項式の場合は、筆算で割り算します。
割り算の基本公式
割り算の基本公式
同じ \(1\) つの文字についての \(2\) つの整式 \(A\), \(B\) (\(B\neq 0\))において、\(A\) を \(B\) で割った時の商を \(Q\), 余りを \(R\) とすると、
\(A=BQ+R\)
ただし、\(R\) は \(0\) か、\(B\) より次数の低い整式
整式の割り算の注意点
整式 \(A\) を整式 \(B\) で割るときに注意したいことが \(2\) つあります。
整式の割り算での注意事項
・整式 \(A\) も整式 \(B\) も降べきの順に整理してから、割り算を行う。
・余りの次数が、割る整式 \(B\) の次数より低くなるか、余りが \(0\) になるまで計算を続ける。
総じて言えば、「次数に注意を払え」ということです。
整式の割り算の問題
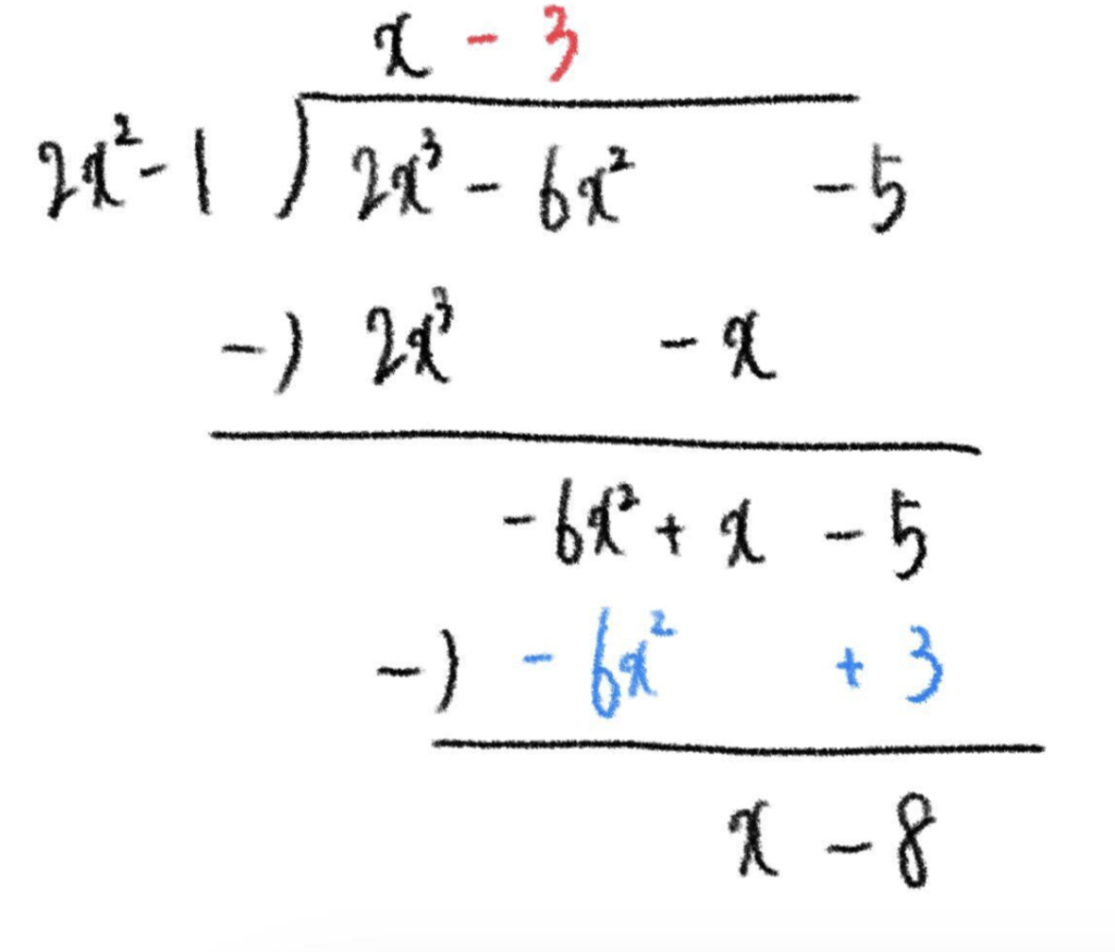
(\(1\))\((2x^3-6x^2-5)\) ÷ \((2x^2-1)\) を計算し、商と余りを求めなさい。
(\(2\))\(2x^2-2x+1\)で割ると、商が \(3x+2\) 、余りが \(x+1\) である整式 \(A\) を求めなさい。
>>詳細はこちらから
答案の例
(\(1\))
商 \(\cdots\) \(x-3\)
余り \(\cdots\) \(x-8\)
(\(2\))
\(A=6x^3-2x^2+3\)
解説
(\(1\))
普通割り算では、以下のように、割られる数の最も高い位の順に着目しながら考えていきますね。
※以下の例では、 \(852\)÷\(3\)の計算の途中経過を示しています。

\(2\) は 割る数の \(3\) を下回っているので、\(25\) に 割る数の \(3\) が何個入ってるかを考える。
この計算の例で伝えたかったのは、まずは最も高い位である百の位の数に着目して、 \(3\) がいくつ入るかを見ている、ということです。
この「最も高い位」という部分が、今回の整式の割り算では、「最も次数の高い項」となります。
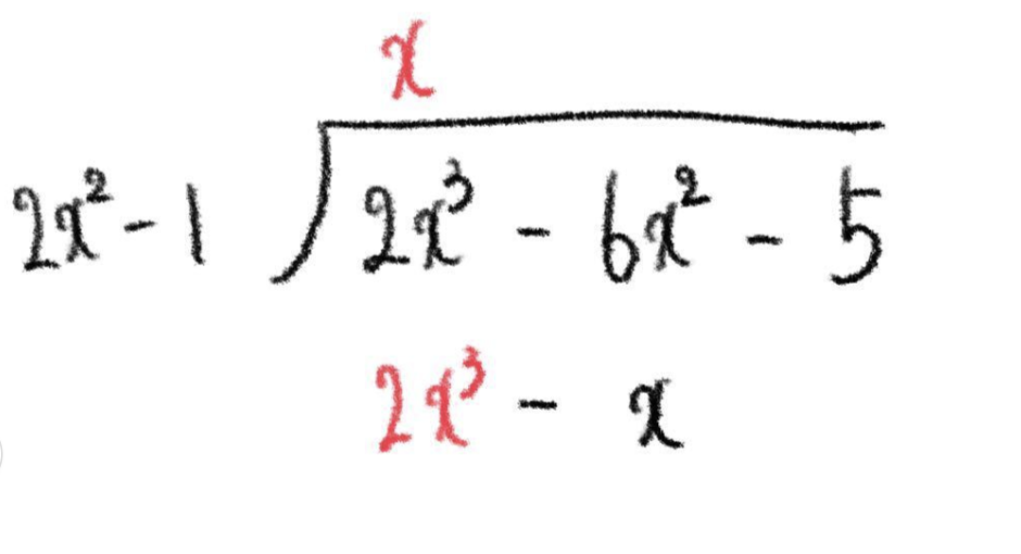
つまり、今回の問題に当てはめると、最も次数の高い項である\(2x^3\) に着目して、計算を進めます。
整数同士の割り算と少し異なる点はここからで、先程の例では \(3\) が \(8\) の中に \(2\) つ入って、 \(2\) が余りましたね。
整式の割り算では、いくつ入るかを考えるのではなく、揃えます。
割る数と割られる数の、最も次数の高い項を揃えるのです。
つまりこういうことです。

割られる数の \(2x^3\) と、割る数の \(2x^2\) を合わせるために、 \(2x^2-1\) 全体に \(x\) をかけているわけです。
ここでの目的はあくまでも \(2x^3\) と \(2x^2\) を合わせることなので、割る数に含まれている \(-1\) は、この思考には関係ありません。
\(x\) を導き出せたら、割る数全体に \(x\) をかけることで、\(2x^3-x\) が出てきているわけです。
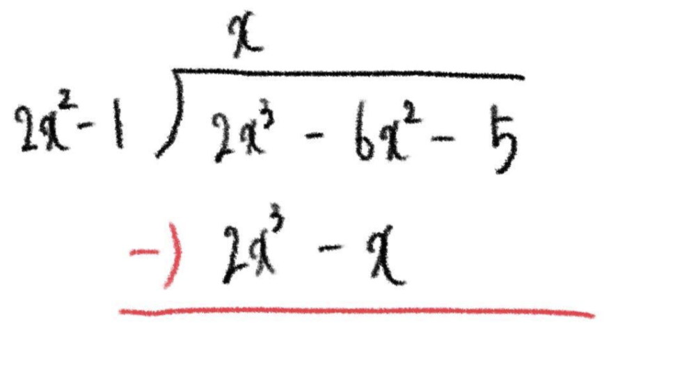
次に、整数の割り算と同様、以下のように引き算をします。
※ 左側の引き算を、たし算に考え直したものが右側の筆算になります。


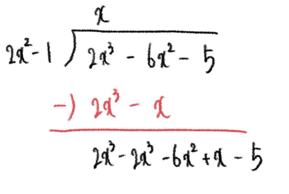
ここでお分かりのように、 \(2x^3-2x^3\) は \(0\) になりますので、残りの項を並べると、 \(-6x^2+x-5\) となります。
\(-6x^2\) と \(+x\) が縦に並んでいるからと言って、この二つを変に計算してしまわないように注意してくださいね。問題集によっては、勘違いの計算を防ぐために以下のように書かれていることもありますよ。

このように次数ごとに並べると、縦に見て足し合わせればいいだけなので楽ですね。
しかし重要なのはもちろん、「縦に足すこと」ではなく、「同類項同士を足し合わせること」なので、変な手続きが定着してしまわないように注意しましょう。
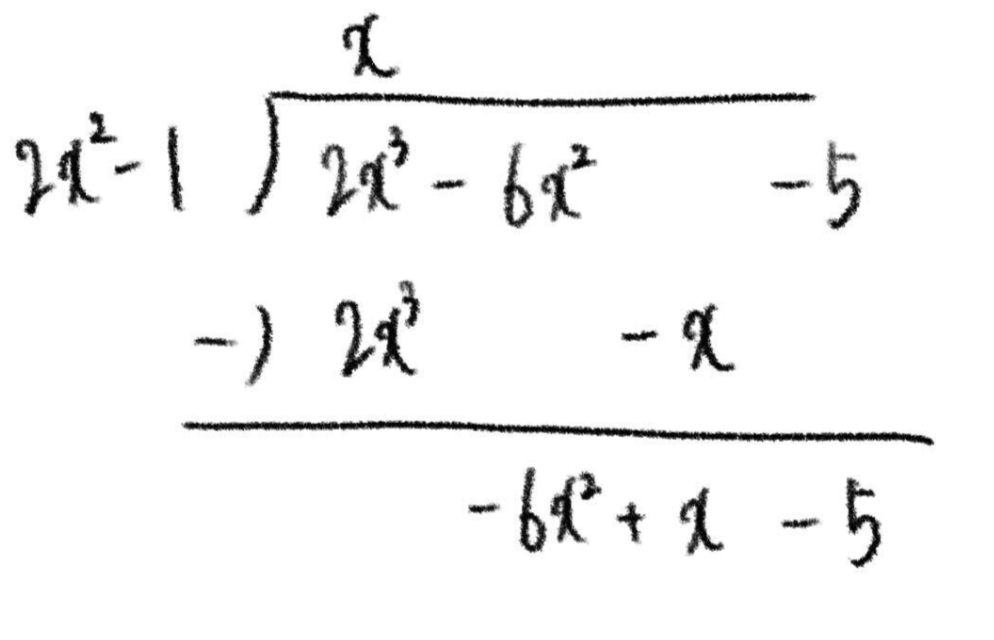
次に、\(-6x^2+x-5\) に対しても、同じことを行っていきます。
つまり、\(-6x^2\) に \(2x^2\) を合わせるために、何をかければいいかを考えます。
もちろんそれは、 \(-3\) なので、以下のように割り算が続きます。

この結果、最終的に \(x-8\) が残りましたね。
この式の最高次数の項である \(x\) に、\(2x^2\) を合わせようとすると、\(\displaystyle \frac{1}{2x}\) をかけなければいけませんが、こうなると商に分数が入ってしまいます。
一般的な整数の割り算でも、余りが割る数を下回ったら終わるように、整式の割り算でも、余りの最高次数の項が割る数の最高次数の項よりも次数が小さくなった時、割り算が終わるのです。
つまりこの場合、答えは、
商 \(\cdots\) \(x-3\)
余り \(\cdots\) \(x-8\)
となります。
(\(2\))
割り算では、
(割られる数)=(割る数)×(商)+(余り)
の関係が成り立ちます。
整式の割り算でも同じことが言えるので、今回求める整式 \(A\)は、
\(A=(2x^2-2x+1) \times (3x+2) + (x+1)\)
\(=6x^3-6x^2+3x+4x^2-4x+2+x+1\)
\(=6x^3-2x^2+3\)
ということになるわけです。
おわりに
さいごまで読んでいただきありがとうございました!
- 大学受験数学で困っている学生の方
- 公務員試験の数学で困っている学生/社会人の方
- 統計学(統計検定)の勉強で困っている学生/社会人の方
個人家庭教師やってるので、ぜひコメントやXでご連絡ください。(Xはこちら)
時間や料金などは相談して決められればと思っておりますが、塾に通うよりは高コスパかなと思います。また、基本的にはオンラインでの授業を想定していますが、場所によっては直接の指導が可能です。(プロフィール)
これまでは塾講師や高校で働いていたのですが、現在はデータサイエンティストとして活動しています。社会やビジネスで数学がどのように使われているのか、そういった話も交えながら進められればと思っております。
数学に困っている方の一助になれれば幸いです。
ご連絡お待ちしております。




質問や感想はコメントへ!